马斯克上周二2月11号在椭圆形办公室举行的记者会上首次声称有150岁以上的人领取社保福利。他说,“粗略检查一下社会保障系统,就会发现里面有人已经150岁了,你们认识150岁的人吗,我不知道。”
上周末,马斯克又在X上发了一条推,表示,“根据社会保障局的数据库,这些是每个年龄段里面死亡这一栏设为‘假’的统计数字。也许‘暮光之城’是真的,有很多吸血鬼在领取社会保障福利。”


马斯克并没有解释这些数字的实质含义,只是含糊其辞地把其跟领社会保障福利联系在一起。声称这些数字表明,超过1000万120岁以上的人正在领取福利。
简单说:
马斯克误导性言论:马斯克声称有超过1000万120岁以上的人领取社保,但数据实质上是社会保障局(SSA)数据库中未标记死亡的社安号,并不代表实际领社保的人口。
数据异常的原因:数据库中的超高龄人口主要源于老旧数据管理问题,如未及时更新死亡记录,而非大规模社保欺诈。
领取社保的严格条件:仅持有社会安全号(SSN)并不意味着可以领取社保福利,领取需满足工作年限等条件,且实际领取社保的人数远低于马斯克宣称的数字。
马斯克的政治意图:马斯克未提供任何社保欺诈证据,却故意夸大数据问题,类似于2020年大选舞弊指控的套路,试图煽动公众对政府的不信任。
最基本的一点,马斯克拿出的数字,已经超出了美国的总人口。
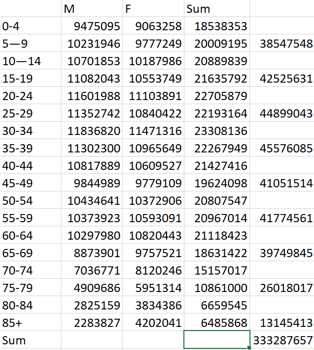
以下是基于美国普查局的数据,对美国2022年人口的统计。


我把每个年龄段的男女做了一下加法。


人口普查的数字,到了85岁以上就并到一起了。算出来2022年美国总人口3.33亿,比较符合事实。
再把人口普查的数字(下图第二列)和马斯克公布的数字(下图第三列)做个对比。


马斯克给出的所谓证据,最异常的是90岁以上的超高龄老人,总共达到了近2700万,甚至比80-90岁年龄段的人口还多1100万,这本身就极其不符合常识。如果把这批按他的说法在继续领福利的老寿星算在内,总数达到了3.98亿,这远超美国人口。


把两条曲线画一下,就能发现一些问题。
马斯克表格中的数字(不含他统计的90岁以上人口),跟美国人口统计的数字比较接近。
而刚出生的人口,两个数字更为接近,随着年龄增长,两个数字差距逐渐增大。这说明什么?说明这个数字是在美国出生或者后来在美国申领社会安全号的人数。
根据规定,在美国出生的小孩,自打一出生就可以申请社会安全号,对于新生儿的统计比较不容易出错。生多少小孩就申请多少社会安全号。
但是随着年龄增长,人口是可以流动和减员的,有些从外国来的学生或者务工者,为了要领工资和报税,也需要去申请社会安全号。后来这些人也许回国了,也许死亡了,但是并没有通知社会安全局,所以这些社会安全号在系统里依然没有标记死亡,这也属于正常。
但是,有社会安全号,并不等于就够资格申请并领取社会安全补助(social security benefit),这是两码事。比如在美国持F1身份念书的学生,虽然有社会安全号,但是工作年限不够,肯定就不够资格领社保补助。
1935年,富兰克林·罗斯福总统签署了《社会保障法》,1940年,第一张老年每月福利支票被支付。
社保局网站上写明,要获得社会保障福利的资格,必须工作并缴纳足够时间的社会保障税,通常在至少 10 年的时间里至少获得 40 个积点,这意味着需要工作至少 10 年才有资格获得退休福利,而且非残疾人领社保福利需要62岁以上。


领取社保福利的人口,分为两大类,一类是年长退休人员,另一类是残障人士。根据SSA网站自己列出的数据,2024年领取社保福利的人为6800万人,SSA是基于这个数据每月向财政部获取拨款,因此是最准确的数字。而马斯克那个表格列出的人口快接近4亿人,且不分年龄段,比实际领取社保福利的人口多了5倍都不止。所以是纯属扯淡。


对比马斯克的数据 vs. 真实社保领取人数:
马斯克声称:1000万120岁以上领取社保
真实统计:99岁以上领取社保约8.9万,100岁以上总人口约8.5万
差距:超过100倍。


数据库里肯定是有一定的问题,比如PBS在2015年的报道就指出过,社会保障局的记录显示,超过112岁的人口条目已达650万。而当年的实际数字,全世界只有42人已知年龄超过了112岁。


报告称,这650万人中,只有13人仍在领取社会保障福利。该机构表示,已更正了20多万份记录中的死亡信息。但更正整个名单的成本至少为900万美元,既费钱又费时,因为社会保障局需要证明某人已死亡才能将其添加到死亡名单中。此外,自2015年9月起,该机构在任何人年满115岁时自动停止福利支付,默认他们已经死亡。


2023年社保局的审计报告也曾指出,数据库中有超过1800万年龄超过100岁的人没有标记死亡。一来是因为数据库老旧,二来是因为更正数据库成本太高。社会保障局得出结论认为,他们中“几乎没有人”从该机构领取养老金——事实上,这也是该机构认为不值得花费精力清理电子记录出现之前就已死亡的人的信息的部分原因。
对于马斯克所提出的2000多万超高龄老人出现在社安局数据库里,总数字达到3.98亿,超过了美国目前的总人口,合理的解释就是,马斯克给的数字,基本上就是社保局发放的社会安全号的总数。社安局截至2025年2月,总共发放了逾4.5亿个社安号,其中有些人去世,有些人本身就是留学生这类流动人口,尽管社安局也在不断减计,但是在社安局大规模数字化之前死亡的群体、未及时标记社安号无效的人口,就一直存在系统里没有标记死亡或者无效。
但是有社会安全号,并不等于就有资格领取社会安全福利,二者之间没有必然联系。虽然系统存 在一定的漏洞,但是能利用这个漏洞去冒领社会福利的人微乎其微,概率只有百万分之一。道理很简单,社保局按实际人数拨款,若真多了几亿人领社保,财政早已崩溃。
马斯克肯定知道其中的区别,却故意夸大其词误导公众,那就属于用心险恶了。而且马斯克并没有举出任何一个冒领社保福利的案例,就在暗示存在大规模的超龄认领社保的情况。这就跟指控2020年大选存在舞弊的套路很像:认为大选统计选票存在有个别漏洞,就因此推断大选存在舞弊,这中间都不知道跳过了多少层必要的论证了。
马斯克作为美国政府实际上的纪检监察部门的负责人,不是通过官方渠道发布有确凿证据的正式公告来监管政府部门,而是天天在网上通过社交媒体发布小道消息和谣言来进行反腐,刻意煽动公众对政府管理能力的不信任。马斯克到底是在揭露问题,还是在制造新的问题?
参考资料:
https://twitter.com/elonmusk/status/1891350795452654076
https://www.ssa.gov/retirement/eligibility
https://www.ssa.gov/oact/STATS/table4c5.html
https://www.pbs.org/newshour/nation/death-stop-social-security-payments
https://www.wired.com/story/elon-musk-doge-social-security-150-year-old-benefits
https://oig.ssa.gov/assets/uploads/a-06-21-51022.pdf
https://www.nytimes.com/2025/02/19/upshot/social-security-fraud-claim-musk.html
https://www.politifact.com/article/2025/feb/17/are-150-year-old-americans-receiving-social-securi